
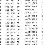
Image: The beginning of the list of markers mapped on my genome – Starting with chromosome 1. The first column is the markers name, the second the chromosome number, third its position number and fourth the base-pair that defines it. This is repeated four times. In his first ever solo show – SELF PORTRAIT – […]

Robin Bhattacharya presented at the Symposium Tracing Mobility: Cartography and Migration in Networked Space at Nottingham Contemporary on Panel 4 – Radical Cartography: Charting Empires’ Fall Video documentation Part 1: http://www.ustream.tv/recorded/6942041 Part 2: http://www.ustream.tv/recorded/6943132 Introduction (chair: Mushon Zer-Aviv) Mushon Zer-Aviv Heath Bunting Jean-Baptiste Naudy (Société Réaliste) Robin Bhattacharya James Kennard Post Imperial maps of the […]

Robin Bhattacharya presents The Robin Genome Project at the Symposium ‘Tracing Mobility’ at Nottingham Contemporary. Tracing Mobility: Cartography and Migration in Networked Space Symposium #1 of 3 10am to 7pm, 15 May Nottingham Contemporary Tracing Mobility, the first of Radiator’s three international symposia, examines the emergence of a new art space, a space born out […]

Composite of several example results, mapped and projected onto geographic territories